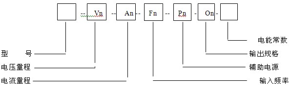
输入规格 | 输出规格 | ||||||||
电压量程 | 电流量程 | 输入频率 | 辅助电源 | ||||||
V1 | 100V | A1 | 1A | F1 | 50 Hz | P1 | 110VAC | O2 | 0 - 20mA |
V2 | 240V | A2 | 5A | F2 | 60 Hz | P2 | 220VAC | O3 | 4 - 20mA |
V3 | 用户指定 | A3 | 用户指定 | P3 | 220VDC | O8 | 0 –5V | ||
O12 | 用户指定 | ||||||||
电能常数:
规格 | 有功功率 | 无功功率 | 输出方式 |
X1 | 1瓦特小时/脉冲 | 1乏尔小时/脉冲 | 单向光耦集电极开路 |
Y1 | 1瓦特小时/脉冲 | 1乏尔小时/脉冲 | 单向光耦集电极开路 |


|
输入规格 | 输出规格 | ||||||||
电压量程 | 电流量程 | 输入频率 | 辅助电源 | ||||||
V1 | 100V | A1 | 1A | F1 | 50 Hz | P1 | 110VAC | O2 | 0 - 20mA |
V2 | 240V | A2 | 5A | F2 | 60 Hz | P2 | 220VAC | O3 | 4 - 20mA |
V3 | 用户指定 | A3 | 用户指定 | P3 | 220VDC | O8 | 0 –5V | ||
O12 | 用户指定 | ||||||||
电能常数:
规格 | 有功功率 | 无功功率 | 输出方式 |
X1 | 1瓦特小时/脉冲 | 1乏尔小时/脉冲 | 单向光耦集电极开路 |
Y1 | 1瓦特小时/脉冲 | 1乏尔小时/脉冲 | 单向光耦集电极开路 |

